Air Force School Kanpur Cantt
Shaping Responsible Citizens
afscanttknp@gmail.com
0512-2380529
Menu
Home
About Us
About School
Chairman's Message
Executive Director Message
Chief Administrative Officer's Message
Principal's Message
Vision & Mission
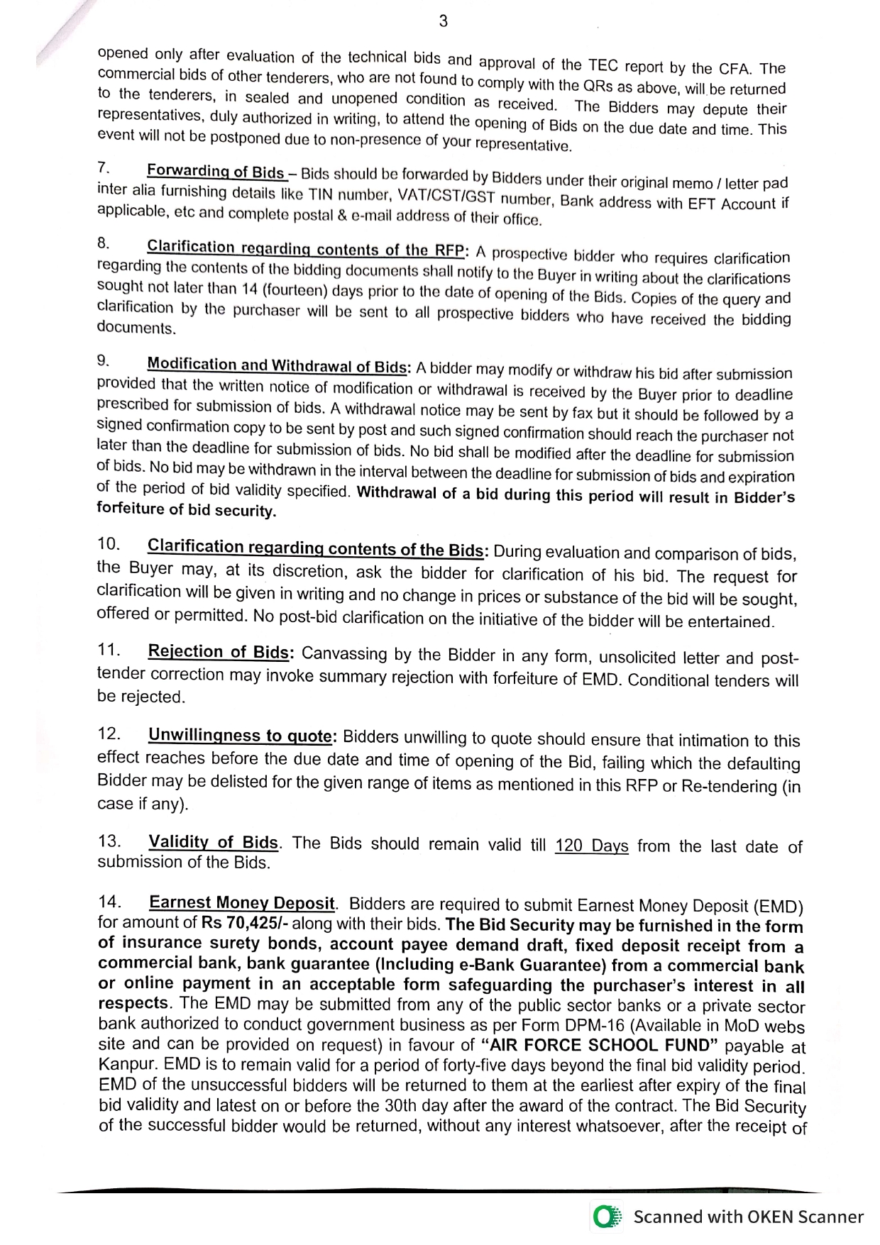
Affiliation
Workshops
The Almanac
School Timings
Code of Conduct
Clubs and Houses
e-diary
Administration
SMC Members
Staff
Annual Report
Career
Admission
Admission
Fee Structure
Jobs
Facilities
Gallery
Photo Gallery
Video Gallery
Academic
Assignment/Homework
Notice Board
Events
Examination
Contact Us
Tender
Invitation For Bids For Procurement Of Computers